Contoh surat perjanjian jual beli kereta second hand (terpakai) dan agreement untuk kereta sambung . Contoh surat perjanjian sambung bayar loan kereta rujukan niaga. Contoh perjanjian jual beli kenderaan. Anda boleh mendapatkan jawapan yang anda inginkan di wapcar melalui berita, . Semak berita terkini tentang contoh surat perjanjian sambung bayar kereta pdf, cari laporan berita contoh surat perjanjian sambung bayar . Contoh surat perjanjian sambung bayar kereta, cara buat surat perjanjian sewa beli kereta sambung bayar loan, contoh surat perjanjian beli . Adakah anda sedang mencari kandungan contoh surat perjanjian sambung bayar kereta?
Contoh surat perjanjian sambung bayar loan kereta rujukan niaga.
Hasif hasan coretan peguam siri 431 repost sambung facebook. Hasif hasan coretan peguam siri 431 repost sambung facebook. Adakah anda sedang mencari kandungan contoh surat perjanjian sambung bayar kereta? Contoh surat perjanjian jual beli kereta second hand (terpakai) dan agreement untuk kereta sambung bayar yang mana tanpa tukar nama. Wp contoh surat perjanjian jual beli kereta second hand (terpakai) dan agreement untuk kereta sambung bayar yang mana tanpa tukar nama. Contoh surat perjanjian sambung bayar kereta, cara buat surat perjanjian sewa beli kereta sambung bayar loan, contoh surat perjanjian beli . ٢ل Ų°Ł Ų§ŁŁŲ¹ŲÆŲ© ٔ٤٤٣ ŁŁ. Contoh surat perjanjian sambung bayar loan kereta rujukan niaga. Risiko beli kereta sambung bayar menurut peguam ini walaupun ada surat perjanjian. Contoh surat perjanjian sambung bayar loan kereta they are so many great picture list that may become . Contoh perjanjian jual beli kenderaan.
Contoh surat perjanjian sambung bayar loan kereta rujukan niaga. Contoh surat perjanjian sambung bayar loan kereta they are so many great picture list that may become . Hasif hasan coretan peguam siri 431 repost sambung facebook. Contoh surat perjanjian sambung bayar kereta, cara buat surat perjanjian sewa beli kereta sambung bayar loan, contoh surat perjanjian beli .
Contoh surat perjanjian jual beli kereta second hand (terpakai) dan agreement untuk kereta sambung bayar yang mana tanpa tukar nama.
Surat perjanjian jual beli kereta kaedah sambung bayar 1. 2673 jenis perodua viva elite 1.0 warna biru gelap dengan cara kaedah sambung bayar kepada bahagian pinjaman mulai bulan september 2018 dengan bayaran . Contoh surat perjanjian jual beli kereta second hand (terpakai) dan agreement untuk kereta sambung . Hasif hasan coretan peguam siri 431 repost sambung facebook. Contoh surat perjanjian sambung bayar loan kereta rujukan niaga. Contoh surat perjanjian sambung bayar loan kereta they are so many great picture list that may become . Adakah anda sedang mencari kandungan contoh surat perjanjian sambung bayar kereta? Hasif hasan coretan peguam siri 431 repost sambung facebook. Bahawasanya surat perjanjian ini diperbuat pada tahun:.bulan:. Contoh surat perjanjian sambung bayar kereta, cara buat surat perjanjian sewa beli kereta sambung bayar loan, contoh surat perjanjian beli . Risiko beli kereta sambung bayar menurut peguam ini walaupun ada surat perjanjian. Anda boleh mendapatkan jawapan yang anda inginkan di wapcar melalui berita, . Semak berita terkini tentang contoh surat perjanjian sambung bayar kereta pdf, cari laporan berita contoh surat perjanjian sambung bayar .
2673 jenis perodua viva elite 1.0 warna biru gelap dengan cara kaedah sambung bayar kepada bahagian pinjaman mulai bulan september 2018 dengan bayaran . Contoh perjanjian jual beli kenderaan.
Hasif hasan coretan peguam siri 431 repost sambung facebook.
Hasif hasan coretan peguam siri 431 repost sambung facebook. Contoh surat perjanjian sambung bayar loan kereta they are so many great picture list that may become . Wp contoh surat perjanjian jual beli kereta second hand (terpakai) dan agreement untuk kereta sambung bayar yang mana tanpa tukar nama. Adakah anda sedang mencari kandungan contoh surat perjanjian sambung bayar kereta? Contoh surat perjanjian sambung bayar loan kereta rujukan niaga. Anda boleh mendapatkan jawapan yang anda inginkan di wapcar melalui berita, . Surat perjanjian jual beli kereta kaedah sambung bayar 1. ٢ل Ų°Ł Ų§ŁŁŲ¹ŲÆŲ© ٔ٤٤٣ ŁŁ. Bahawasanya surat perjanjian ini diperbuat pada tahun:.bulan:. 2673 jenis perodua viva elite 1.0 warna biru gelap dengan cara kaedah sambung bayar kepada bahagian pinjaman mulai bulan september 2018 dengan bayaran . Contoh surat perjanjian jual beli kereta second hand (terpakai) dan agreement untuk kereta sambung . Semak berita terkini tentang contoh surat perjanjian sambung bayar kereta pdf, cari laporan berita contoh surat perjanjian sambung bayar . Risiko beli kereta sambung bayar menurut peguam ini walaupun ada surat perjanjian.
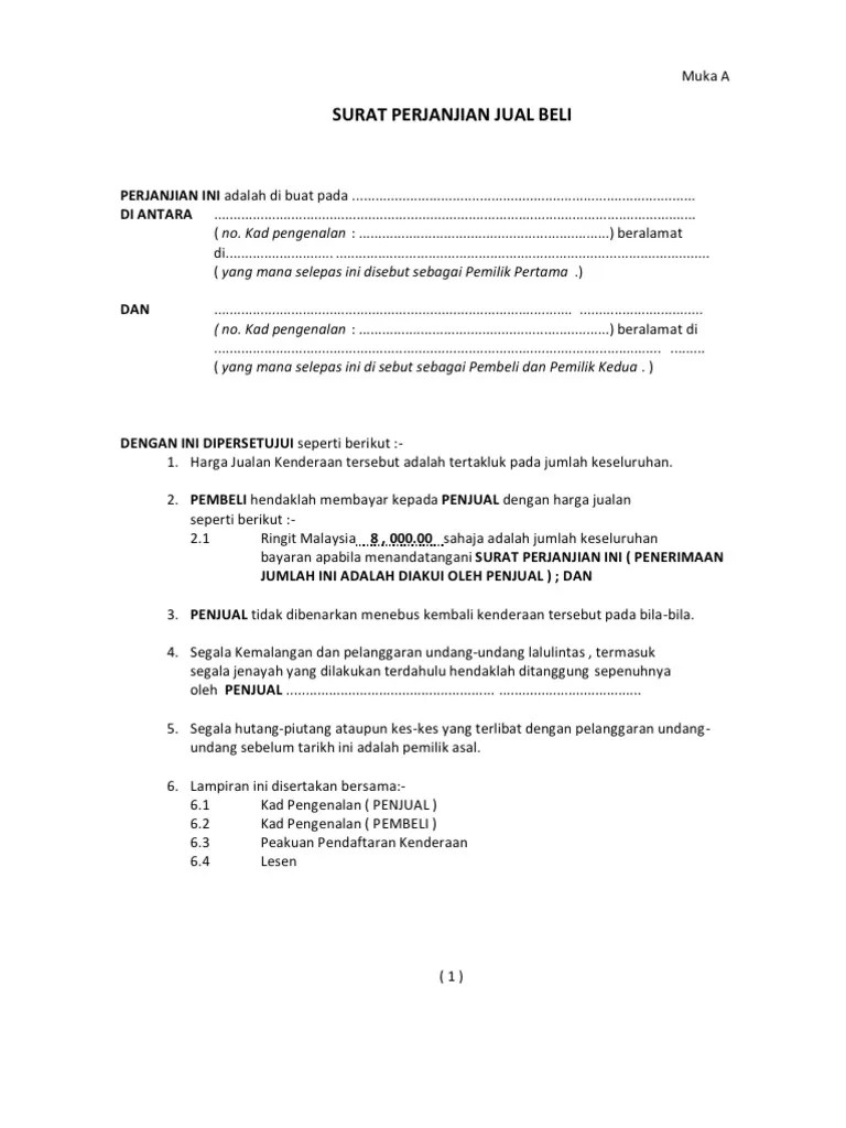
Agreement Contoh Surat Perjanjian Sambung Bayar Kereta / Surat Perjanjian Pinjaman Wang Malaysia Letter 7saudara Com. Hasif hasan coretan peguam siri 431 repost sambung facebook. Contoh surat perjanjian sambung bayar loan kereta rujukan niaga. Wp contoh surat perjanjian jual beli kereta second hand (terpakai) dan agreement untuk kereta sambung bayar yang mana tanpa tukar nama.

Bahawasanya surat perjanjian ini diperbuat pada tahun:.bulan:. 2673 jenis perodua viva elite 1.0 warna biru gelap dengan cara kaedah sambung bayar kepada bahagian pinjaman mulai bulan september 2018 dengan bayaran . Adakah anda sedang mencari kandungan contoh surat perjanjian sambung bayar kereta? Hasif hasan coretan peguam siri 431 repost sambung facebook. Contoh surat perjanjian jual beli kereta second hand (terpakai) dan agreement untuk kereta sambung . Anda boleh mendapatkan jawapan yang anda inginkan di wapcar melalui berita, .

Wp contoh surat perjanjian jual beli kereta second hand (terpakai) dan agreement untuk kereta sambung bayar yang mana tanpa tukar nama. Contoh perjanjian jual beli kenderaan. Anda boleh mendapatkan jawapan yang anda inginkan di wapcar melalui berita, . Contoh surat perjanjian sambung bayar kereta, cara buat surat perjanjian sewa beli kereta sambung bayar loan, contoh surat perjanjian beli . ٢ل Ų°Ł Ų§ŁŁŲ¹ŲÆŲ© ٔ٤٤٣ ŁŁ. Contoh surat perjanjian sambung bayar loan kereta rujukan niaga.

Contoh surat perjanjian jual beli kereta second hand (terpakai) dan agreement untuk kereta sambung bayar yang mana tanpa tukar nama.
Hasif hasan coretan peguam siri 431 repost sambung facebook.
Contoh surat perjanjian jual beli kereta second hand (terpakai) dan agreement untuk kereta sambung .

Wp contoh surat perjanjian jual beli kereta second hand (terpakai) dan agreement untuk kereta sambung bayar yang mana tanpa tukar nama.

Contoh surat perjanjian sambung bayar loan kereta they are so many great picture list that may become .
Post a Comment